wj-MFB1-1.5YC閥用電磁鐵 MFB1-1.5YC 交流濕式的詳細資料:
閥用電磁鐵 MFB1-1.5YC 交流濕式 主要技術參數
閥用電磁鐵 MFB1-1.5YC 交流濕式
型號 | 額定電壓(V) | 額定吸力(N) | 額定行程(mm) | 全行程(mm) | 消耗功率(W) | 承受靜態油壓(MPa) | 操作頻率(T/h) |
MFB1-1.5YC | 110/220 | ≥15 | 3 | ≥6 | ≤20 | 6.3 | 7200 |
MFB1-2.5YC | 110/220 | ≥25 | 3 | ≥6 | ≤20 | 6.3 | 7200 |
MFB1-3YC | 110/220 | ≥30 | 5 | ≥6 | ≤20 | 6.3 | 7200 |
MFB1-4YC | 110/220 | ≥40 | 6 | ≥8.5 | ≤40 | 6.3 | 7200 |
MFB1-5.5YC | 110/220 | ≥55 | 4 | ≥8.5 | ≤40 | 6.3 | 7200 |
MFB1-7YC | 110/220 | ≥70 | 7 | ≥10.5 | ≤40 | 6.3 | 3600 |
訂貨代號
閥用電磁鐵 | 交流本整 | 設計序號 | 額定吸力(Kgf) | 濕式 |
MF | B | 1 | 1.5/2.5/3/4/5.5/7 | YC |
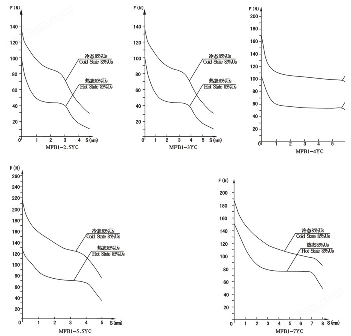
行程-力特性曲線
外形及安裝尺寸
型號 | 外形尺寸 | 安裝尺寸 | ||||||
A max | B max | d1 | D | a | d | L1 | L2 | |
MFB1-1.5YC | 36.5 | 77 | φ3 | φ8.5 | 28±0.18 | φ4.5 | 3±0.2 | 8 |
MFB1-2.5YC | 47.5 | 79 | φ4 | φ8.5 | 38±0.20 | φ4.5 | 3±0.2 | 8 |
MFB1-3YC | 50.5 | 79 | φ7 | φ12.5 | 41±0.20 | φ4.5 | 5±0.2 | 13 |
MFB1-4YC | 55.6 | 100 | φ7 | φ12.5 | 45±0.20 | φ5.5 | 6±0.2 | 13 |
MFB1-5.5YC | 55.6 | 100 | φ7 | φ12.5 | 45±0.20 | φ5.5 | 4±0.2 | 11 |
MFB1-7YC | 72.6 | 111 | φ8 | φ13 | 60±0.20 | φ6.5 | 7±0.2 | 10 |
使用注意事項
電磁鐵采用符合ISO4400標準的插座。有帶指示燈、不帶指示燈兩種規格,您可以根據需要進行選擇。帶指示燈插座的電壓規格多須與電磁鐵本體電壓規格相符。
電磁鐵的手動推桿用于在調試時或緊急情況下,進行手動控制。但當系統背壓較高,調節困難時,請使用十字螺絲刀緩推手動推桿,不宜使用沖擊力,以免破壞手動推桿和導向內孔表面,造成電磁鐵漏油或不能復位。
當雙向使用電磁鐵時,一定要保證兩個電磁鐵不能同時通電,以免電磁閥不能正常工作。
電氣控制系統與電磁鐵連接部分之間應設有過流保護裝置,以免非正常情況下,燒毀電磁鐵及您的電控元件
EDG-01V-B-PT11,EDG-01V-C-PT11,先導式溢流閥
EDG-01V-H-PT11,EDG-01V-B-PNT15,先導式溢流閥
EBG-03-C,EBG-06-C,EBG-10-C,電液比例溢流閥
EBG-03-H,EBG-06-H,EBG-10-H,電液比例溢流閥
EBG-03-C-T,EBG-06-C-T,EBG-10-C-T,電液比例溢流閥
S-BSG-10-2B2B-A200,S-BSG-10-2B2-A200,低噪聲電磁溢流閥
S-BSG-03-2B3A-A100-N,S-BSG-06-2B3A-A100-N,低噪聲電磁溢流閥
S-BSG-10-2B3A-A100-N,S-BSG-10-2B3B-A100-N,低噪聲電磁溢流閥
S-BSG-03-2B3B-A100-N,S-BSG-06-2B3B-A100-N,低噪聲電磁溢流閥
S-BSG-03-2B2B-A100-N,S-BSG-06-2B2B-A100-N,低噪聲電磁溢流閥
S-BSG-03-2B2-A200,S-BSG-06-2B2-A200,低噪聲電磁溢流閥
S-BSG-10-2B2B-A100-N,S-BSG-10-2B2-A100-N,低噪聲電磁溢流閥
S-BSG-03-2B2-A100-N,S-BSG-06-2B2-A100-N,低噪聲電磁溢流閥
S-BSG-03-3C2-A100-N,S-BSG-06-3C2-A100-N,低噪聲電磁溢流閥
S-BSG-10-3C2-A100-N,S-BSG-10-3C3-A100-N,低噪聲電磁溢流閥
S-BSG-03-3C2-A200,S-BSG-06-3C2-A200,低噪聲電磁溢流閥
S-BSG-03-3C3-A100-N,S-BSG-06-3C3-A100-N,低噪聲電磁溢流閥
S-BSG-10-3C2-A200,S-BSG-10-3C3-A200,低噪聲電磁溢流閥
S-BSG-03-2B2B-D24-N,S-BSG-06-2B2B-D24-N,低噪聲電磁溢流閥
S-BSG-10-2B2B-D24-N,S-BSG-10-2B2-D24-N,低噪聲電磁溢流閥
S-BSG-03-3C3-A200,S-BSG-06-3C3-A200,低噪聲電磁溢流閥
S-BSG-03-2B2-D24-N,S-BSG-06-2B2-D24-N,低噪聲電磁溢流閥
BSG-10-3C2-A200,BST-03-3C2-A200,電磁控制溢流閥
BST-06-3C2-A200,BST-10-3C2-A200,電磁控制溢流閥
BSG-03-3C3-A200,BSG-06-3C3-A200,電磁控制溢流閥
S-BSG-03,S-BSG-06,S-BSG-10,低噪聲電磁溢流閥
BSG-10-3C3-A200,BST-03-3C3-A200,電磁控制溢流閥
S-BSG-03-2B3A-A200,S-BSG-06-2B3A-A200,低噪聲電磁溢流閥
BST-06-3C3-A200,BST-10-3C3-A200,電磁控制溢流閥
S-BSG-10-2B3A-A200,S-BSG-10-2B3B-A200,低噪聲電磁溢流閥
S-BSG-03-2B3A-A100,S-BSG-06-2B3A-A100,低噪聲電磁溢流閥
S-BSG-10-2B3A-A100,S-BSG-10-2B3B-A100,低噪聲電磁溢流閥
S-BSG-03-2B3B-A100,S-BSG-06-2B3B-A100,低噪聲電磁溢流閥
S-BSG-03-2B2B-A100,S-BSG-06-2B2B-A100,低噪聲電磁溢流閥
S-BSG-03-2B2-A100,S-BSG-06-2B2-A100,低噪聲電磁溢流閥
S-BSG-10-2B3A-A200,S-BSG-10-2B3B-A200,低噪聲電磁溢流閥
S-BSG-03-3C2-A100,S-BSG-06-3C2-A100,低噪聲電磁溢流閥
S-BSG-10-3C2-A100,S-BSG-10-3C3-A100,低噪聲電磁溢流閥
S-BSG-03-2B3B-A200,S-BSG-06-2B3B-A200,低噪聲電磁溢流閥
S-BSG-10-2B2B-A100,S-BSG-10-2B2-A100,低噪聲電磁溢流閥
S-BSG-03-3C3-A100,S-BSG-06-3C3-A100,低噪聲電磁溢流閥
S-BSG-03-2B2B-A200,S-BSG-06-2B2B-A200,低噪聲電磁溢流閥
**MFB1-1.5YC** 是**交流本整型濕式閥用電磁鐵**,專為液壓電磁換向閥提供動力,是工業液壓系統中常用的小吸力電磁鐵之一。### 一、型號含義(MFB1-1.5YC)- **M**:閥用電磁鐵- **F**:交流(AC)- **B**:本整型(內置整流/消磁,無交流噪音)- **1**:設計系列號- **1.5**:額定吸力 **15N(≈1.5kgf)**- **Y**:濕式(浸油工作,適配液壓閥)- **C**:常開型(默認)### 二、核心技術參數(雙旭/行業通用)| 參數項 | 規格 ||:--- |:--- || **額定電壓** | AC 110V / 220V(50Hz),可選380V || **額定吸力** | ≥ **15N**(1.5kgf) || **額定行程** | **3mm** || **全行程** | ≥ **6mm** || **消耗功率** | ≤ **20W** || **承受油壓** | **6.3MPa**(靜態) || **操作頻率** | **7200次/小時**(120次/分鐘) || **通電持續率** | **60%** || **防護等級** | **IP55** || **工作制** | 長期/斷續周期 || **安裝方向** | 任意 |### 三、產品特點1. **本整型設計**:內置整流與消磁電路,**無交流嗡嗡聲**,動作平穩、無沖擊。2. **濕式結構**:線圈浸在液壓油中,**散熱好、壽命長**,適配各類液壓換向閥。3. **吸力適中**:15N吸力滿足大多數中低壓液壓閥的換向需求,通用性。4. **高頻率**:7200次/小時,適合連續、頻繁換向的自動化設備。5. **寬電壓適應**:電壓波動 **85%–110%** 仍可靠工作。6. **安裝便捷**:標準接口,可直接替換同規格電磁鐵。### 四、典型應用- 液壓系統:**電磁換向閥**(如4WE6、DSG-01系列)- 機床:液壓卡盤、液壓夾具、工作臺進給- 工程機械:小型液壓站、閥組控制- 自動化生產線:液壓執行機構驅動### 五、安裝與接線要點- **安裝**:直接旋入液壓閥電磁鐵安裝孔,確保**導套與閥芯同軸**,無卡滯。- **接線**:兩根電源線(無極性)接AC 110V/220V;通電即吸合,斷電靠閥內彈簧復位。- **注意**:必須在**濕式(浸油)**環境下使用,嚴禁干式空吸,否則線圈易燒毀。
| 如果你對wj-MFB1-1.5YC閥用電磁鐵 MFB1-1.5YC 交流濕式感興趣,想了解更詳細的產品信息,填寫下表直接與廠家聯系: |








在線客服